 |
 |
 |
 |
| Optical spectrum of SN 2001el and fractional polarisation |
Heavy Metal Stars |
UV Spectrum of CN Leonis |
Spectra of dwarf stars in NGC 6752 |
 |
 |
 |
 |
| FORS1 at the VLT UT1: First Spectra |
The Spectrum of Sakurai's Object |
Mysterious GEMINGA on the Move |
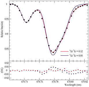
Uranium in the Spectrum of an Old Star |
 |
 |
 |
 |
| "Joint" Stellar Light-spot |
"Visibility Curve" of the Star Psi Phoenicis |
Finding Chart for Very Young Brown Dwarfs in the Orion Nebula |
The Light-curve of Microlensing Event EROS-BLG-2000-5 |
 |
 |
 |
 |
| Light Curve of AKO 9 in 47 Tucanae |
Supernova 1994D in the galaxy NGC 4526 |
Light-Curve of GRB 060614 |
Oscillation frequencies in the giant star xi Hya |
 |
 |
 |
 |
| Interferometric Fringes from the Star Achernar |
Coronal Fe XIII Emission Line in CN Leonis |
NN Ser Light Curve around Total Eclipse |
NN Ser Spectrum during Total Eclipse |
 |
 |
 |
 |
| Orbit of AB Doradus C |
Observed Velocity Variation of mu Arae |
High-Velocity Ejecta in Eta Carinae |
Spectrum of Crab Pulsar |
 |
 |
 |
 |
| Wide-field view of the sky around the remarkable star SDSS J102915+172927 |
Properties of Low-Mass Stars and Planets |
Beryllium Spectral Lines in Three Stars |
Interferometric Fringes of NGC 1068 |
 |
 |
 |
 |
| Infrared Spectrum of Brown Dwarf TWA-5B |
Spectum of Be doublet |
Spectrum of Stars in NGC 6822 and the Small Magellanic Cloud |
The Brown Dwarf KELU-1 |
 |
 |
 |
 |
| Discovery of a Binary Quasar |
Light curves of the black-hole GU Muscae |
Colour-Magnitude Diagram of 2341 Stars towards N214C |
Observed Separation between GQ Lupi and its Companion |
 |
 |
 |
 |
| Mid-IR spectra of HD 142527 Inner Disc and Common Dust Types |
Period-Luminosity relation for Cepheids |
Pulsation of the Cepheid Variable L Car |
"Velocity Curve" of mu Arae |
 |
 |
 |
 |
| Optical Spectrum of the Bipolar Nebula |
The lightcurve of Supernova 1987A |
Deneb observed with the VLT Adaptive Optics Prototype System |
The large jet in the HH-111 complex |
 |
| Wide-field view of the star-forming region around the Herbig-Haro object HH 46/47 |