Click on the image for higher resolution
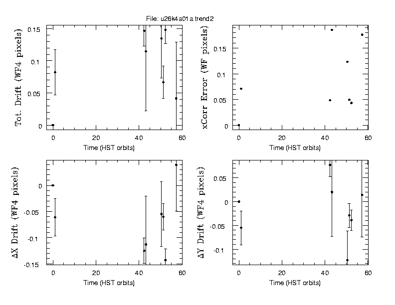
| Observation Start Time (seconds from 1-1-1980) | Association file | WFPC2 Dataset Name | Jitter Reliability (P-OK, G-NOK) | sub group id in the jitter association | Distance (X-Corr shift, Jitter shift) [SEE PLOT] | X-Corr Error [SEE PLOT] | Y-shift [X-Corr] | X-shift [X-Corr] | Y-shift [Jitter] | X-shift [Jitter] | DY [SEE PLOT] | DX [SEE PLOT] |
|---|---|---|---|---|---|---|---|---|---|---|---|---|
| 472974797 | u26k4a01a.asn | U26K4A01T | P | 4. | 0. | 2.00E-4 | 0. | 0. | 0. | 0. | 0. | 0. |
| 472980617 | u26k4a01a.asn | U26K4A02T | G | 0. | 0.08213 | 0.0709 | 0.095 | 0.061 | 0.04 | 0. | -0.055 | -0.061 |
| 473218997 | u26k4a01a.asn | U26K7P01T | P | 2. | 0.14681 | 0.0485 | -0.697 | -0.905 | -0.62 | -1.03 | 0.077 | -0.125 |
| 473223857 | u26k4a01a.asn | U26K7P02T | G | 0. | 0.11476 | 0.1856 | -0.68 | -0.907 | -0.66 | -1.02 | 0.02 | -0.113 |
| 473265317 | u26k4a01a.asn | U26K7E01T | P | 1. | 0.13474 | 0.1233 | 1.373 | 1.395 | 1.25 | 1.34 | -0.123 | -0.055 |
| 473270237 | u26k4a01a.asn | U26K7E02T | G | 0. | 0.06664 | 0.0496 | 1.229 | 1.39 | 1.2 | 1.33 | -0.029 | -0.06 |
| 473275997 | u26k4a01a.asn | U26K7E03T | G | 0. | 0.14822 | 0.0431 | 1.229 | 1.463 | 1.19 | 1.32 | -0.039 | -0.143 |
| 473304677 | u26k4a01a.asn | U26KAE01T | P | 3. | 0.04144 | 0.1761 | 1.106 | 1.281 | 1.12 | 1.32 | 0.014 | 0.039 |