Click on the image for higher resolution
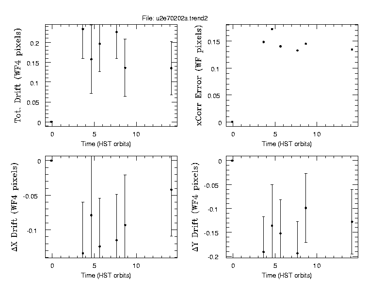
| Observation Start Time (seconds from 1-1-1980) | Association file | WFPC2 Dataset Name | Jitter Reliability (P-OK, G-NOK) | sub group id in the jitter association | Distance (X-Corr shift, Jitter shift) [SEE PLOT] | X-Corr Error [SEE PLOT] | Y-shift [X-Corr] | X-shift [X-Corr] | Y-shift [Jitter] | X-shift [Jitter] | DY [SEE PLOT] | DX [SEE PLOT] |
|---|---|---|---|---|---|---|---|---|---|---|---|---|
| 461037556 | u2e70202a.asn | U2E70202T | P | 2. | 0. | 3.00E-4 | 0. | 0. | 0. | 0. | 0. | 0. |
| 461059036 | u2e70202a.asn | U2E70208T | P | 1. | 0.23332 | 0.1483 | 0.721 | -0.446 | 0.53 | -0.58 | -0.191 | -0.134 |
| 461064796 | u2e70202a.asn | U2E70209T | P | 1. | 0.15728 | 0.1721 | 0.666 | -0.501 | 0.53 | -0.58 | -0.136 | -0.079 |
| 461070616 | u2e70202a.asn | U2E7020AT | P | 1. | 0.19616 | 0.14 | 0.682 | -0.456 | 0.53 | -0.58 | -0.152 | -0.124 |
| 461082196 | u2e70202a.asn | U2E7020CT | P | 1. | 0.22552 | 0.1325 | 0.724 | -0.475 | 0.53 | -0.59 | -0.194 | -0.115 |
| 461087956 | u2e70202a.asn | U2E7020DT | P | 1. | 0.13583 | 0.1447 | 0.629 | -0.497 | 0.53 | -0.59 | -0.099 | -0.093 |
| 461119576 | u2e70202a.asn | U2E7020BT | P | 3. | 0.13471 | 0.1342 | 0.658 | -0.488 | 0.53 | -0.53 | -0.128 | -0.042 |