Click on the image for higher resolution
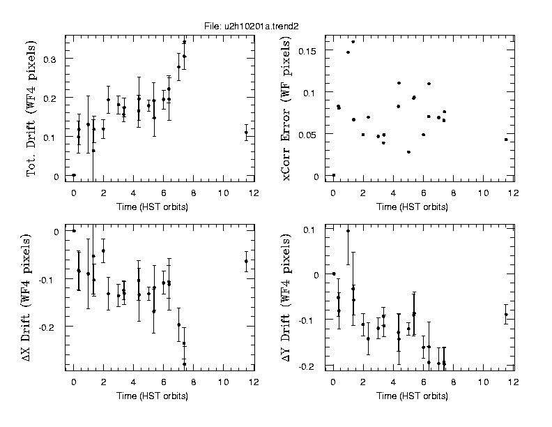
| Observation Start Time (seconds from 1-1-1980) | Association file | WFPC2 Dataset Name | Jitter Reliability (P-OK, G-NOK) | sub group id in the jitter association | Distance (X-Corr shift, Jitter shift) [SEE PLOT] | X-Corr Error [SEE PLOT] | Y-shift [X-Corr] | X-shift [X-Corr] | Y-shift [Jitter] | X-shift [Jitter] | DY [SEE PLOT] | DX [SEE PLOT] |
|---|---|---|---|---|---|---|---|---|---|---|---|---|
| 482739257 | u2h10201a.asn | U2H10201T | P | 1. | 0. | 3.00E-4 | 0. | 0. | 0. | 0. | 0. | 0. |
| 482740996 | u2h10201a.asn | U2H10202T | P | 1. | 0.09794 | 0.0825 | 0.062 | 0.093 | 0.01 | 0.01 | -0.052 | -0.083 |
| 482741176 | u2h10201a.asn | U2H10203T | P | 1. | 0.11741 | 0.0803 | 0.071 | 0.105 | -0.01 | 0.02 | -0.081 | -0.085 |
| 482744717 | u2h10201a.asn | U2H10204T | P | 2. | 0.13014 | 0.1472 | -0.754 | 0.12 | -0.66 | 0.03 | 0.094 | -0.09 |
| 482746696 | u2h10201a.asn | U2H10205T | P | 2. | 0.06243 | 0.1598 | -0.637 | 0.063 | -0.67 | 0.01 | -0.033 | -0.053 |
| 482746876 | u2h10201a.asn | U2H10206T | P | 2. | 0.11772 | 0.0665 | -0.613 | 0.113 | -0.67 | 0.01 | -0.057 | -0.103 |
| 482750477 | u2h10201a.asn | U2H10207T | P | 8. | 0.11868 | 0.0487 | -1.249 | 0.762 | -1.36 | 0.72 | -0.111 | -0.042 |
| 482752456 | u2h10201a.asn | U2H10208T | P | 8. | 0.19388 | 0.0696 | -1.218 | 0.852 | -1.36 | 0.72 | -0.142 | -0.132 |
| 482756297 | u2h10201a.asn | U2H1020AT | P | 5. | 0.18071 | 0.0468 | -1.241 | 1.556 | -1.36 | 1.42 | -0.119 | -0.136 |
| 482758276 | u2h10201a.asn | U2H1020BT | P | 5. | 0.1558 | 0.0389 | -1.267 | 1.545 | -1.36 | 1.42 | -0.093 | -0.125 |
| 482758456 | u2h10201a.asn | U2H1020CT | P | 5. | 0.17366 | 0.0484 | -1.226 | 1.561 | -1.34 | 1.43 | -0.114 | -0.131 |
| 482764036 | u2h10201a.asn | U2H1020ET | P | 6. | 0.16492 | 0.0825 | -0.532 | 2.234 | -0.66 | 2.13 | -0.128 | -0.104 |
| 482764216 | u2h10201a.asn | U2H1020FT | P | 6. | 0.19597 | 0.1104 | -0.527 | 2.274 | -0.67 | 2.14 | -0.143 | -0.134 |
| 482767877 | u2h10201a.asn | U2H1020GT | P | 7. | 0.17839 | 0.0279 | 0.16 | 2.282 | 0.04 | 2.15 | -0.12 | -0.132 |
| 482769856 | u2h10201a.asn | U2H1020HT | P | 7. | 0.19147 | 0.092 | 0.13 | 2.329 | 0.04 | 2.16 | -0.09 | -0.169 |
| 482770036 | u2h10201a.asn | U2H1020IT | P | 7. | 0.14682 | 0.0934 | 0.126 | 2.279 | 0.04 | 2.16 | -0.086 | -0.119 |
| 482773637 | u2h10201a.asn | U2H1020JT | P | 3. | 0.19443 | 0.0486 | 0.901 | 1.589 | 0.74 | 1.48 | -0.161 | -0.109 |
| 482775616 | u2h10201a.asn | U2H1020KT | P | 3. | 0.22155 | 0.0701 | 0.954 | 1.587 | 0.76 | 1.48 | -0.194 | -0.107 |
| 482775796 | u2h10201a.asn | U2H1020LT | P | 3. | 0.1953 | 0.1095 | 0.9 | 1.592 | 0.74 | 1.48 | -0.16 | -0.112 |
| 482779457 | u2h10201a.asn | U2H1020MT | P | 4. | 0.27789 | 0.0692 | 0.966 | 0.997 | 0.77 | 0.8 | -0.196 | -0.197 |
| 482781436 | u2h10201a.asn | U2H1020NT | P | 4. | 0.3055 | 0.0658 | 0.944 | 1.026 | 0.75 | 0.79 | -0.194 | -0.236 |
| 482781616 | u2h10201a.asn | U2H1020OT | P | 4. | 0.34293 | 0.076 | 0.968 | 1.06 | 0.77 | 0.78 | -0.198 | -0.28 |
| 482805257 | u2h10201a.asn | U2H1020DT | P | 6. | 0.10962 | 0.0427 | -0.581 | 2.194 | -0.67 | 2.13 | -0.089 | -0.064 |