Click on the image for higher resolution
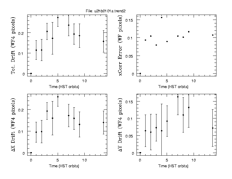
| Observation Start Time (seconds from 1-1-1980) | Association file | WFPC2 Dataset Name | Jitter Reliability (P-OK, G-NOK) | sub group id in the jitter association | Distance (X-Corr shift, Jitter shift) [SEE PLOT] | X-Corr Error [SEE PLOT] | Y-shift [X-Corr] | X-shift [X-Corr] | Y-shift [Jitter] | X-shift [Jitter] | DY [SEE PLOT] | DX [SEE PLOT] |
|---|---|---|---|---|---|---|---|---|---|---|---|---|
| 479529317 | u2hb0101a.asn | U2HB0101T | P | 4. | 0. | 4.00E-4 | 0. | 0. | 0. | 0. | 0. | 0. |
| 479534777 | u2hb0101a.asn | U2HB0102T | P | 3. | 0.11455 | 0.0932 | -0.014 | -0.065 | 0.05 | 0.03 | 0.064 | 0.095 |
| 479540537 | u2hb0101a.asn | U2HB0103T | P | 3. | 0.11491 | 0.1044 | 0.01 | -0.038 | 0.07 | 0.06 | 0.06 | 0.098 |
| 479546357 | u2hb0101a.asn | U2HB0104T | P | 2. | 0.20634 | 0.0793 | 5.487 | 5.437 | 5.56 | 5.63 | 0.073 | 0.193 |
| 479552177 | u2hb0101a.asn | U2HB0105T | P | 2. | 0.17233 | 0.1562 | 5.496 | 5.47 | 5.56 | 5.63 | 0.064 | 0.16 |
| 479557937 | u2hb0101a.asn | U2HB0106T | P | 2. | 0.27485 | 0.0893 | 5.468 | 5.371 | 5.56 | 5.63 | 0.092 | 0.259 |
| 479569517 | u2hb0101a.asn | U2HB0108T | P | 1. | 0.23697 | 0.1044 | -4.563 | -4.662 | -4.4 | -4.49 | 0.163 | 0.172 |
| 479575337 | u2hb0101a.asn | U2HB0109T | P | 1. | 0.19334 | 0.1014 | -4.51 | -4.649 | -4.4 | -4.49 | 0.11 | 0.159 |
| 479581157 | u2hb0101a.asn | U2HB010AT | P | 1. | 0.18597 | 0.1165 | -4.532 | -4.641 | -4.4 | -4.51 | 0.132 | 0.131 |
| 479606957 | u2hb0101a.asn | U2HB0107T | P | 1. | 0.15743 | 0.1073 | -4.482 | -4.64 | -4.41 | -4.5 | 0.072 | 0.14 |