Click on the image for higher resolution
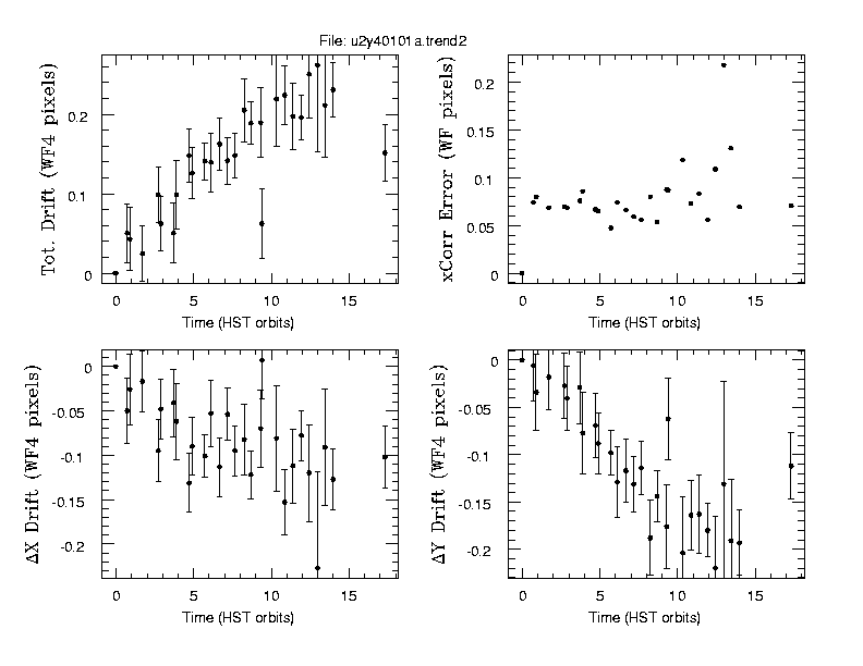
| Observation Start Time (seconds from 1-1-1980) | Association file | WFPC2 Dataset Name | Jitter Reliability (P-OK, G-NOK) | sub group id in the jitter association | Distance (X-Corr shift, Jitter shift) [SEE PLOT] | X-Corr Error [SEE PLOT] | Y-shift [X-Corr] | X-shift [X-Corr] | Y-shift [Jitter] | X-shift [Jitter] | DY [SEE PLOT] | DX [SEE PLOT] |
|---|---|---|---|---|---|---|---|---|---|---|---|---|
| 499121837 | u2y40101a.asn | U2Y40101T | P | 1. | 0. | 2.00E-4 | 0. | 0. | 0. | 0. | 0. | 0. |
| 499126037 | u2y40101a.asn | U2Y40104T | P | 1. | 0.05036 | 0.0741 | 0.016 | 0.05 | 0.01 | 0. | -0.006 | -0.05 |
| 499127117 | u2y40101a.asn | U2Y40105T | P | 1. | 0.0428 | 0.0798 | 0.044 | 0.026 | 0.01 | 0. | -0.034 | -0.026 |
| 499131797 | u2y40101a.asn | U2Y40108T | P | 1. | 0.02476 | 0.0688 | 0.038 | 0.037 | 0.02 | 0.02 | -0.018 | -0.017 |
| 499137557 | u2y40101a.asn | U2Y4010CT | P | 1. | 0.09876 | 0.0694 | 0.057 | 0.125 | 0.03 | 0.03 | -0.027 | -0.095 |
| 499138637 | u2y40101a.asn | U2Y4010DT | P | 1. | 0.06248 | 0.0684 | 0.07 | 0.078 | 0.03 | 0.03 | -0.04 | -0.048 |
| 499143317 | u2y40101a.asn | U2Y4010GT | P | 1. | 0.05022 | 0.0759 | 0.069 | 0.081 | 0.04 | 0.04 | -0.029 | -0.041 |
| 499144397 | u2y40101a.asn | U2Y4010HT | P | 1. | 0.09886 | 0.0859 | 0.117 | 0.102 | 0.04 | 0.04 | -0.077 | -0.062 |
| 499149077 | u2y40101a.asn | U2Y4010KT | P | 1. | 0.14806 | 0.0668 | 0.109 | 0.161 | 0.04 | 0.03 | -0.069 | -0.131 |
| 499150157 | u2y40101a.asn | U2Y4010LT | P | 1. | 0.12587 | 0.065 | 0.128 | 0.12 | 0.04 | 0.03 | -0.088 | -0.09 |
| 499154837 | u2y40101a.asn | U2Y4010OT | P | 1. | 0.14073 | 0.0474 | 0.128 | 0.131 | 0.03 | 0.03 | -0.098 | -0.101 |
| 499157177 | u2y40101a.asn | U2Y4010PT | P | 1. | 0.13946 | 0.074 | 0.149 | 0.073 | 0.02 | 0.02 | -0.129 | -0.053 |
| 499160417 | u2y40101a.asn | U2Y4010RT | P | 1. | 0.16266 | 0.066 | 0.137 | 0.143 | 0.02 | 0.03 | -0.117 | -0.113 |
| 499163357 | u2y40101a.asn | U2Y4010ST | P | 1. | 0.14169 | 0.0592 | 0.151 | 0.074 | 0.02 | 0.02 | -0.131 | -0.054 |
| 499166117 | u2y40101a.asn | U2Y4010UT | P | 1. | 0.14839 | 0.0562 | 0.144 | 0.125 | 0.03 | 0.03 | -0.114 | -0.095 |
| 499169477 | u2y40101a.asn | U2Y4010VT | P | 1. | 0.2051 | 0.08 | 0.218 | 0.102 | 0.03 | 0.02 | -0.188 | -0.082 |
| 499171937 | u2y40101a.asn | U2Y4010XT | P | 1. | 0.18873 | 0.0538 | 0.174 | 0.152 | 0.03 | 0.03 | -0.144 | -0.122 |
| 499175537 | u2y40101a.asn | U2Y4010YT | P | 1. | 0.18941 | 0.0877 | 0.206 | 0.09 | 0.03 | 0.02 | -0.176 | -0.07 |
| 499176077 | u2y40101a.asn | U2Y40109T | P | 1. | 0.06239 | 0.0869 | 0.082 | 0.013 | 0.02 | 0.02 | -0.062 | 0.007 |
| 499181477 | u2y40101a.asn | U2Y40111T | P | 1. | 0.21949 | 0.1185 | 0.234 | 0.101 | 0.03 | 0.02 | -0.204 | -0.081 |
| 499184537 | u2y40101a.asn | U2Y40113T | P | 1. | 0.22429 | 0.073 | 0.184 | 0.183 | 0.02 | 0.03 | -0.164 | -0.153 |
| 499187537 | u2y40101a.asn | U2Y40114T | P | 1. | 0.19777 | 0.0832 | 0.193 | 0.122 | 0.03 | 0.01 | -0.163 | -0.112 |
| 499190717 | u2y40101a.asn | U2Y40116T | P | 1. | 0.19617 | 0.0559 | 0.2 | 0.108 | 0.02 | 0.03 | -0.18 | -0.078 |
| 499193597 | u2y40101a.asn | U2Y40117T | P | 1. | 0.2506 | 0.1088 | 0.25 | 0.13 | 0.03 | 0.01 | -0.22 | -0.12 |
| 499196657 | u2y40101a.asn | U2Y40119T | P | 1. | 0.26209 | 0.2178 | 0.151 | 0.247 | 0.02 | 0.02 | -0.131 | -0.227 |
| 499199417 | u2y40101a.asn | U2Y4011AT | P | 1. | 0.21157 | 0.1308 | 0.221 | 0.101 | 0.03 | 0.01 | -0.191 | -0.091 |
| 499202477 | u2y40101a.asn | U2Y4011CT | P | 1. | 0.23104 | 0.0694 | 0.213 | 0.147 | 0.02 | 0.02 | -0.193 | -0.127 |
| 499221677 | u2y40101a.asn | U2Y40110T | P | 1. | 0.15149 | 0.0706 | 0.152 | 0.132 | 0.04 | 0.03 | -0.112 | -0.102 |