| Minor Bodies in the Outer Solar System: Magnitudes and ColoursO.R. Hainaut, ESO, H. Boehnhardt, MPS, and S. Protopapa, UMd| 
| Database Tables
 
    | MBOSS colour database: colour, absolute magnitude, spectral gradient, dynamical class for each object. | mbossData (ASCII) |  | The mbossData.txt file is formatted with fixed length columns. "#"
denotes a comment line. The columns are:
 
The values listed in the various columns are x/sigma/disp,
defined as follow:Object: name of the object.  1998WW31+B, +C refer to the
satellites; Warning: measurements reported for the main body (eg
1998WW31) are likely to include measurements of the object together
with its satellite(s).
Class: dynamic class of the object, using a classification derived from that of Gladman et al, published in SSBN. See the MBOSS-2 paper for details.
 LPComet: Long Period Comet
- SPComet: Short Period Comet
- Detachd: Detached Disk object
- Scatter: Scattered Disk object
- Class-c: Cold Classical Disk object
- Class-h: Hot Classical Disk object
- Res-3:2: Resonant object on the 3:2 resonance, Plutino
- Reson.:  Resonant object on another resonance.
- JTrojan: Jupiter Trojan
- Centaur: Centaur
Epo: Number of independent epochs available.
M11: Absolute R magnitude (not V), normalized to r = Delta = 1 AU, with no attempt to correct any phase effect.
Grt: Spectral gradient, in %/100nm, spectrum normalized to 1 at V.
B-V, etc: colours. Other filter combinations are available upon request.
 
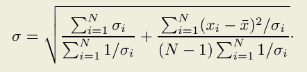
x is the weighted average of all the available measurements,
obtained as    
where  x_i and sigma_i are the measurements and
error bars published by the individual authors.|  | [1] | sigma refers to the total error on the average, obtained as
where x is the average obtained in [1]. The first term of the
square root refers to the combination of the error bars on the
individual measurements, and the second to the dispersion of the
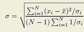
measurements.|  | [2] | disp refers to the dispersion of the measurements,
  obtained as
i.e. is the second term of [2]. The disp of Grt is an
exception; refer to Hainaut and Delsanti 2002.|  | [3] |  |  | Average colours for each physico-dynamical class. | mbossClasses (ASCII) | 
|---|
 | For each colour and each class, 3 values are listed:
The number of objects used in the average; the average value, and the
dispersion.  M11 refers to the absolute R magnitude; Grt to the
gradient of the reflectivity spectrum, in %/100nm. |  | References for each object | mbossRef (HTML) mbossRef (ASCII)
 
 | 
|---|
 | The HTML version comes with links to the papers. 
In both files, "Counts" refers to the number of measurements included
in the database for that object. |  
| Bibliography | mbossBib (BitTeX) |  | Full list of papers from which photometric measurements were used.
In most cases, a link to the corresponding ADS page is
included. The list uses the A&A mnemonics. |  
 |  
| Copyright: You may use the content of these pages, including in
publications of any type, provided you make reference to the original
paper Hainaut, Boehnhardt & Protopapa (2012) A&A 546, A115
[ADS
| BibTeX 
| DOI 
| arXiv
| ADS
] 
and/or point to the online version at http://www.eso.org/~ohainaut/MBOSS ,
following the  Creative Commons Attribution 3.0 Unported License.
 |  | [ 
Feedback
|
O.R. Hainaut
|
H. Boehnhardt
|
S. Protopapa
|
ESO
] Hosted by ESO - This is a private page: "Any view or statement
made is not part of an official standpoint of ESO."
 |  |  |