Research
The Gems of Galaxy Assembly
The main goal of my research is to better understand the processes that shape galaxies by exploring their fossil record of formation and evolution. Fossil records—the very gems of galaxy assembly—reside at various locations within and between galaxies. In my research I use several of these in complementary ways to observationally quantify the mass assembly of galaxies. Below you will find brief summaries of some of the scientific projets that I currently work on or have worked in the past. I am a member of the Fornax3D survey collaboration, the XSL project (to which I was the Project Manager), and the CALIFA survey.
Recent PhD students at ESO
Research projects
Looking for the fossil record of galaxy nuclei formation
The interplay between baryons and dark matter in galaxies
Stellar kinematics and dynamics with CALIFA
The X-shooter Spectral Library
Calibrating stellar population models in the near-IR
Looking for the fossil record of galaxy nuclei formation
Galaxy nuclei’s angular momentum is very similar to N-body simulated NSCs that are formed via the in-spiralling of globular clusters (Lyubenova & Tsatsi 2019).
Over the past decade we learnt that many galaxies harbour nuclear star clusters (NSCs) in their centres. There is evidence that they can co-exist with super-massive black holes, like in the Milky Way. The relationship between the mass of these central objects and the properties of their host galaxies is likely to be fundamental as it connects quantities that differ by several orders of magnitude. NSCs, unlike black holes, preserve their (and the host galaxy's) evolutionary history imprinted in their stellar populations and kinematics. The goal of my research is to understand whether the scaling relations between galaxy nuclei and host galaxy properties are driven by physical processes, like black hole feedback, or statistical ones, involving many subsequent mergers of galaxies and their NSCs and/or black holes. See below a list with the key publications where I and my current PhD student Katja Fahrion have presented several of our findings.
The interplay between baryons and dark matter in galaxies
The double power law IMF shape in early-type galaxies and its systemic variation (Lyubenova, Martín-Navarro et al. 2016).
Once considered to be universal, nowadays there is growing evidence that the stellar initial mass function (IMF) varies systematically between and within elliptical galaxies. However, the precise kind of this variation is still a topic of heated debate. Stellar population studies tell us what is the fraction of low mass stars (<0.5 M⊙) in a galaxy, but not what is the functional mass distribution of all the stars. In Lyubenova et al. (2016) we used a homogenous sample of giant elliptical galaxies from the CALIFA survey to study the shape of their IMFs. We compared the galaxies’ dynamical mass-to-light ratios (Υdyn) with their stellar populations based ones (Υ∗). Our study was the first to use this approach to test the predictions of stellar population models over a homogenous data set. First, we used the stringent constraint Υdyn ≥Υ∗, as there cannot be less total mass than only the one of the stars. We ruled out a single power-law IMF shape for 75 per cent of the galaxies in our sample. Conversely, we found that a double power-law IMF shape with a varying high-mass end slope is compatible (within 1σ ) with 95 per cent of the galaxies. We also showed that dynamical and stellar IMF mismatch factors give consistent results for the systematic variation of the IMF in these galaxies.
The two-dimensional distribution of IMF in the Fornax cluster galaxy FCC167. (Martín-Navarro, Lyubenova, et al. 2019)
Stellar kinematics and dynamics with CALIFA
Examples of line-of-sight stellar kinematic maps from the CALIFA survey (Falcón-Barroso, Lyubenova, van de Ven et al. 2017).
The motion of stars within galaxies is a fundamental property set very early on in their life. Thus the galaxy's evolutionary history can be constrained from the dynamical memory imprinted in the orbital distribution of collisionless stellar systems. In the period 2012-2017 I co-led (together with my colleagues Glenn van de Ven (University of Vienna) and Jesus Falcón-Barroso (IAC)) the working group of "Stellar kinematics and Dynamics" of the CALIFA survey. We used this unique 3D spectroscopy data set of about 600 galaxies of all types in the Local Universe to explore various traces of galaxy evolution using stellar kinematics and dynamics. Below some of our key results are listed.
The X-shooter Spectral Library
The X-shooter Spectral Library (XSL) of stellar spectra. (Gonneau, Lyubenova, et al. 2020).
The X-shooter Spectral Library (XSL) is a stellar spectroscopy library of 666 unique stars observed with the VLT/X-shooter instrument. It provides simultaneous spectra over the ultraviolet, visible, and near-infrared portion of the spectrum. The second data release (or DR2, Gonneau, Lyubenova et al. 2020) contains 816 observations of 666 unique stars. The end user has access to spectra that are corrected for instrument transmission and telluric absorption, and also corrected for wavelength-dependent flux-losses in 85% of the cases.
Calibrating stellar population models in the near-IR
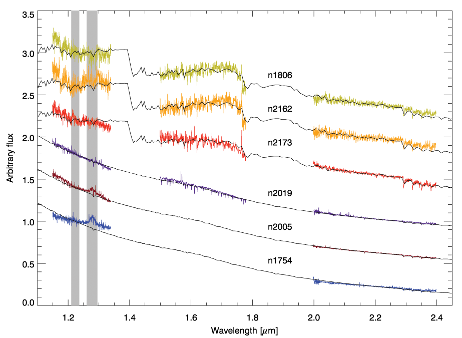
Near-IR SEDs of our sample of globular clusters (Lyubenova et al., 2012).
Stellar population synthesis models have the largest uncertainties in the near-IR, due to the lack of large and well calibrated spectral libraries. To tackle this issue, during my PhD I created the first library of integrated near-IR spectra of globular clusters in the Local Group. Our first K-band results (Lyubenova et al., 2010) demonstrated the importance of the near-IR light when exploring 1-3 Gyr old stellar populations, where the presence of carbon-rich AGB stars dramatically changes the integrated spectro-photometric properties of the host stellar population. In Lyubenova et al., 2012 we finalised this project by extending our library to the J- and H-band. We showed that the H-band C2 absorption feature and the overall J-, H-band spectral shape can be used as an age indicator for intermediate age stellar populations in integrated spectra of star clusters and galaxies.
Go back to list of projects



