NIRPS: Near Infra-Red Planet Searcher
Organisation
PI-Institutes:
- Université de Montréal (“UdeM”)
- Université de Genève (“UniGe”), Observatoire Astronomique (English link)
other participating institutions
- Instituto de Astrofísica e Ciências do Espaço (“IA-P”), Porto, Portugal
- Instituto de Astrofísica de Canarias (“IAC”), La Laguna (Tenerife), Spain
- Université de Grenoble – Alpes (“UGA”), Saint-Martin-d'Hères, France
- Universidade Federal do Rio Grande do Norte (“UFRN”), Natal, Brazil
- NRC Herzberg Astronomy and Astrophysics, Victoria, Canada
The project team is composed of:
Principle Investigators:
Project Scientists:
- Étienne Artigau, UdeM, Canada
- Christophe Lovis, Observatoire de Genève, Switzerland
- Xavier Delfosse, IPAG, France
- Pedro Figueira, IA, Portugal
- Bruno Canto, UFRN, Brazil
- Jonay Hernandez, IAC, Spain
Project Management:
- Olivier Hernandez, UdeM, Canada (olivier@ASTRO.UMontreal.CA)
- Lison Malo, UdeM, Canada (deputy)
System Engineering:
- François Wildi, Observatoire de Genève, Switzerland
- Nicolas Blind (Front-End), Observatoire de Genève, Switzerland
- Vlad Reshetov (Back-End), NRC, Canada
ESO represented by:
- Project manager and system engineer: Norbert Hubin, ESO, Germany
- Project scientist: Celine Péroux, ESO, Germany
- Project scientist: Gaspare Lo Curto, ESO, Chile
NIRPS is an AO-equipped fibre-fed Y, J and H-band Echelle spectrograph with a spectral resolution of at least 80’000 that shall routinely deliver radial velocities with a precision of <1 m/s.
Content

Baseline Sppecifications
| Subsystem | Parameters |
| HAM mode | Spectral Resolution:𝜆/Δ𝜆=100,000 0.4arcsec object fibre, AO assisted feed 0.4 arcsec simultaneous reference fibre |
| Hem Mode | Spectral Resolution:𝜆/Δ𝜆=75,000 0.9arcsec double slicing in the pupil plane 0.4arcsec simultaneous reference fibre |
| Environment | Vacuum: <10-5mbar cryogenic: 80K with 1mk stability |
| Spectral Domain | 0.97-1.81µm (YJH photometric bandpasses) |
| Calibration Sources | Hollow cathode lamp, stabilised Fabry-Perot, Laser frequency comb |
| Detector and Format | Hawaii 4RG, 4K x 4K, 15µm pixels |
| Limiting Magnitude | 1m/s in 30min for an M3 star with H=9 |
| Stability | <1m/s intrinsic stability over one night Calibration down to <1m/s over the lifetime of the instrument |
| Sampling | 1km/s per pixel, 3 pixels per FWHM |
| Operation | Simultaneous operation with HARPS without degrading HARPS performance |
Scientific Objectives
Science case
The main goal of NIRPS is to use the radial velocity method to detect and characterise planets orbiting cool, red, low-mass M-type stars. In particular, NIRPS aims to find Earth-like rocky planets that could potentially be habitable. M-type stars are of particular interest because the radial velocity variations induced by an orbiting planet are larger for a less-massive star than a Sun-like star, and hence their planets — including those in the habitable zone — are more easily detected. NIRPS will operate in the infrared as this is the main range of wavelengths emitted by such small, cool stars. For red stars, which are the most common kind in the solar neighbourhood, NIRPS is expected to produce data that are at least as accurate as currently available with the HARPS instrument.
Competing Instruments
Of course, given the promises, there is competition by at least the following instruments:
GIANO at the 3.5m TNG on LaPalma, in operation,
CARMENES at the 3.5m Telescope of Calar Alto, Spain, is now in operation
SPIROU at the 3.6m CFHT on Hawaii, is now in operation
NIRPS, however, has two decisive advantages here: at first it is in the southern hemisphere with a higher abundance of candidate stars and secondly, due to the special arrangements to procure this instrument, NIRPS will get sufficient observing time, be it in GTO or in open time operations.


Instrument Description
NIRPS is an infrared extension of HARPS covering instantaneously the Y, J and H band (973.79 to 1808.53 nm). A K-Band extension is possible. NIRPS is a fibre-fed Echelle spectrograph with a spectral resolution of at least 80’000. NIRPS shall routinely deliver radial velocities with a precision of <1 m/s. Beyond this it can also be used as a general purpose spectrograph to observe objects as diverse as Comets or bright AGNs. The total efficiency at for blaze conditions (including atmosphere, telescope and slit losses for a 1 arcsec seeing in V band) shall be at least of 10%. It will be operated in parallel together with HARPS whereby the NIRPS arm will employ an adaptive optics system to maximize throughput while keeping the instrument size moderate. NIRPS is deployed in two steps:
1. retiring the old HARPS adaptor and replace it with the new one, including AO and new calibration unit
2. erecting and commissioning of the NIRPS spectrograph in the 3.6m Coude-lab and commission it thereafter
The HARPS polarimetry will be maintained. NIRPS will come with a pipeline and all tools to provide science operations and data flow at the ESO/HARPS standard level. The NIRPS consortium will be reimbursed for building the instrument and operating it with ~50% of the available time. The rest, however, it is available to the ESO community for standard open time proposals.
Calibration Unit:
The calibration system is a separate unit that contains all light sources necessary, controllers and injection optics. The unit is located at the Coude floor and calibration light is transmitted via optical fibers to the NIRPS Front End.
There will be two types of fibres (see below) for the two operations modes of NIRPS: This unit has its own control module for the various lamps and lasers, power supplies and motors. The whole calibration unit will be fitted into a standard rack and it comprises the following elements:
- 2 fibre-coupled laser diodes at λ1 = 642 nm and λ2 = 1064 nm
- 1 single mode fiber coupled laser diode λ3 = 642 nm
- 2 Uranium-Neon lamps with two fiber outputs each
- 1 Tungsten lamp with two fiber outputs each
- External inputs to the unit so that a Laser Frequency Comb or a Fabry-Perot calibration source can be hooked up
The enclosed figure gives the schematic lay out of the unit.

Front End
The front-end comprises everything, which is mounted to the |Cassegrain focus of the 3.6m telescope. Three design principles have been followed:
- HARPS related parts, especially HARPS POL shall in no way be compromised
- the NIRPS spectrograph will be fed with fibres employing adaptive optics to improve the coupling efficiency; there will be two fibres which can freely be selected: a circular one (NA 0.125), feeding NIRPS in high dispersion mode (R~100000) and a octagonal one (320μm), feeding NIRPS in the high efficiency mode (R~80000) employing a pupil slicer to match the seeing limited input to the spectrometer;
- there is an extra port to hook up an optional K-band spectrograph
The schematics of the front end can be seen in this figure:

To accommodate everything mechanically, the old HARPS adaptor and its interface have become history. They will be replaced by a completely new mechanical design.

Back End
The backend design is a high efficiency and high stability spectrograph illuminating eventually a 2kx2k HgCdTe detector. Detector mount and read-out system are a spin-off of a near-IR instrument of JWST (Fine Guidance Sensor/Near InfraRed Imager and Slitless Spectrograph (FGS/NIRISS),
https://jwst.nasa.gov/fgs.html ).
The spectrograph will have no movable parts.
The instrument is packaged into the vacuum vessel:

The Echelle format shows, that the order numbers could be chosen such, that a high proportion of the detector area actually gets illuminated.

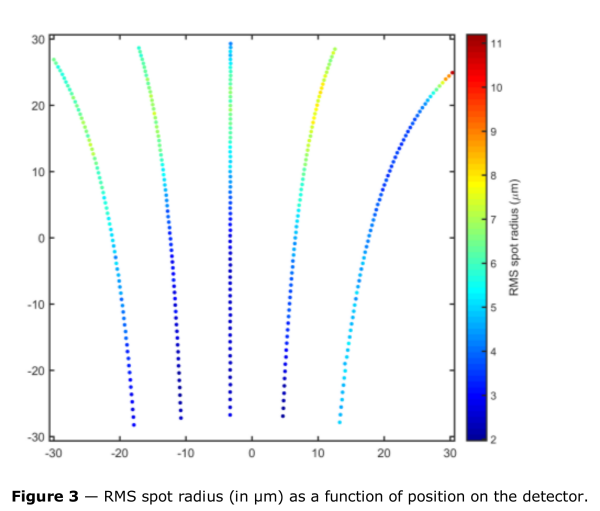
The image quality in the camera is excellent: compared to a pixel size of 18μm: even in the extreme corners, image quality will be better than a fraction of one pixel while the spectrum will be slightly over-sampled (diameter of fibre corresponds to 3 pixel).

