Atmospheric Extinction (July 2010)
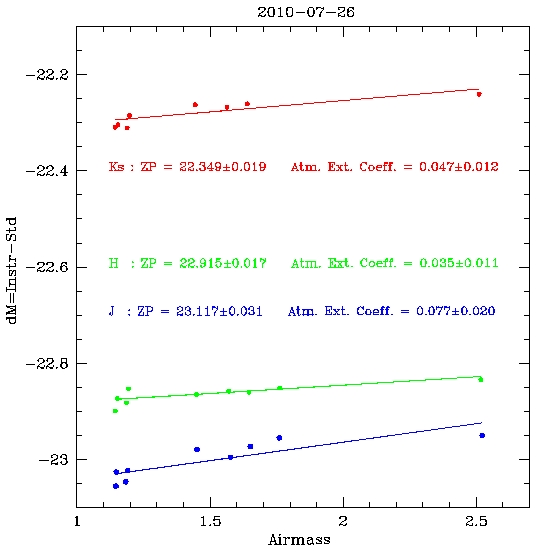
This page contains information about the Jul 2010 calculation of the atmospheric extinction coefficients. Nine standard stars from the list of LCO (Persson et al. 1998) were observed during the nights of Jul 26 spanning sec(z) from about 1.1 to about 2.5. The measurements were done with the aperture photometry package apphot in IRAF. The linear fits take into account the errors along the Y-axis.
The measurements for the night of 2010-07-26/27 are shown bellow together with their errors. The analysis indicates that the atmospheric extinction coefficients for J, H and Ks, resp., are 0.077, 0.035, and 0.047, respectivelly, with uncertainties of 0.020, 0.011, and 0.012. The color range of the observed standards is insufficient to test for color terms.

