Atmospheric Extinction (May 2012)
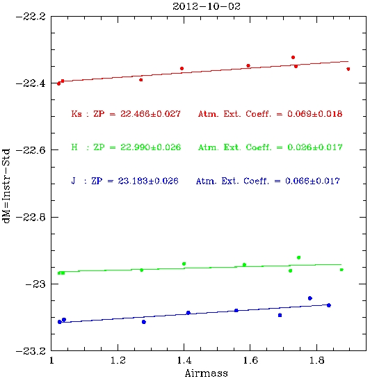
This page contains information about the Oct 2012 calculation of the atmospheric extinction coefficients. Ten standard stars from the list of LCO (Persson et al. 1998) were observed during the nights of May 16 spanning sec(z) from about 1.03 to about 1.90. The standards were taken within about 1 hr 40 min. The measurements were reduced with the SofI pipeline recipe.
Zero point and atmospheric extinction coefficients for the night of 2012-10-02/03, together with their error. The analysis indicates that the atmospheric extinction coefficients for J, H and Ks, resp., are 0.066, 0.026, and 0.069, respectively, with uncertainties of 0.017, 0.017, and 0.018.

