Press Release

A Supermassive Black Hole in a Nearby Galaxy

ISAAC Inspects the Center of Centaurus A

8 March 2001

The nearby galaxy Centaurus A harbours a supermassive black hole at its centre. Using the ISAAC instrument at the ESO Very Large Telescope (VLT), an international team of astronomers [1] has peered right through the spectacular dust lane of the peculiar galaxy Centaurus A, located approximately 11 million light-years away. They were able to probe the thin disk of gas that surrounds the very center of this galaxy. The new measurements show that the compact nucleus in the middle weighs more than 200 million solar masses! This is too much just to be due to normal stars. The astronomers thus conclude the existence of a supermassive black hole lurking at the centre of Centaurus A.

A well studied galaxy with a hidden center

The galaxy Centaurus A (NGC 5128) is one of the most studied objects in the southern sky. The unique appearance of this galaxy was already noticed by the famous British astronomer John Herschel in 1847 who catalogued the southern skies and made a comprehensive list of "nebulae". A fine photo of Centaurus A from the VLT was published last year as ESO Press Photo eso0005b.

Herschel could not know, however, that this beautiful and spectacular appearance is due to an opaque dust lane that covers the central part of the galaxy. This dust is likely the remain of a cosmic merger between a giant elliptical galaxy, and a smaller spiral galaxy full of dust.

Centaurus A is even more spectacular when observed with radio telescopes. It is in fact one of the brightest radio sources in the sky (its name indicates that it is the strongest radio source in the southern constellation Centaurus). At a distance of merely 11 million light-years, it is also the nearest radio galaxy. The radio emission from the very compact centre exhibits strong activity. It has for some time been suspected that this powerful energy release is due to accretion of material onto a massive black hole.

The details of the centre have remained largely unknown, due to the dense dust lane that completely obscures the central part of the galaxy in optical light . Observations of the dust emission in the mid-infrared spectral region were carried out with the ISOCAM camera onboard the ESA Infrared Space Observatory . They revealed a structure extending over 5 arcmin (16,500 light-years or 5 kpc), centred on the compact radio source, and very similar to that of a small barred galaxy. This bar may serve to funnel gas towards the active nucleus of the galaxy.

Peering through the dust

To look into the very centre of the galaxy, the observations must be carried out at wavelengths longer than those of visual light, e.g., in the infrared spectral region. This is because the dust absorbs much less the infrared radiation. Infrared observations of the innermost regions (of Centaurus A (on an arcsec scale) were recently done by a team of astronomers from Italy, UK and USA [1], by means of the multi-mode ISAAC instrument on the ESO Very Large Telescope (VLT) at Paranal Observatory.

In fact, the team started their infrared studies of this galaxy already in 1997, using the NICMOS camera on board the Hubble Space Telescope (HST) . That close view of the galaxy nucleus revealed a thin gaseous disk of material close to the center, which looked very much like an accretion disk that was feeding material into a central black hole. The HST image prompted further spectroscopic observations to probe the rotation of the disk, and thus to measure the mass of the central object.

The ISAAC spectra

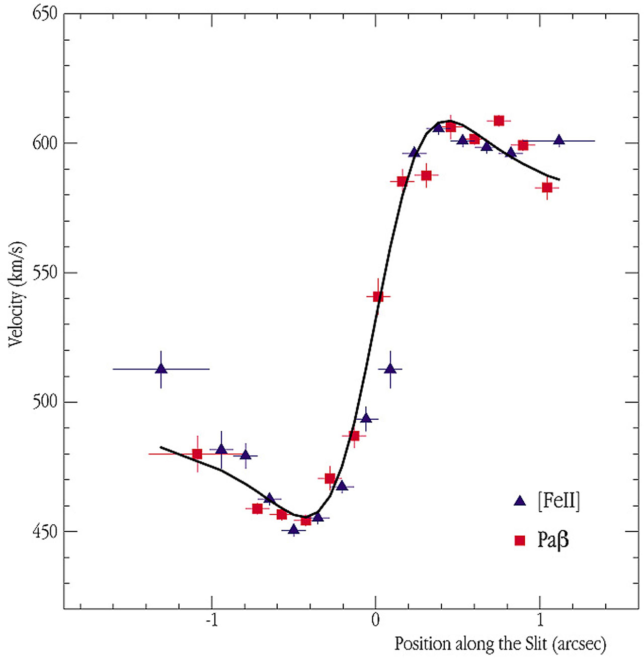
The spectroscopic observations required both a high sensitivity in the infrared and excellent seeing conditions. This combination was achieved using ISAAC at VLT. Peering through the thick walls of dust enshrouding the nuclear region of Centaurus A, the astronomers succeeded in acquiring several high-quality spectra of the thin central disk; the exposure time for each spectrum was (about) 35 min.

The spectra did show the characteristic shape of a rotating disk. High-speed motions of the gas in this disk were detected (ESO Press Photo eso0109), which are the hallmark of a black hole. An analysis of the rotational speed of the disk leads to determination of the total mass of the material inside the disk. This showed that about 200 million solar masses of material resides inside the nuclear disk.

A massive black hole

The astronomers quickly realized that this enormous mass within the central region cannot be caused by normal stars, as it would then be much more luminous. Instead they conclude that the most conservative explanation for the dark, central mass concentration observed in Centaurus A is indeed a supermassive black hole. The most likely mass of this "central beast" is then about 200 million times the mass of our Sun.

This discovery confirms the previous suspicion that the active nucleus of Centaurus A is powered by a supermassive black hole. It is the first time infrared spectroscopy has been used to weigh a black hole. Many other galaxies have dust-enshrouded nuclei, and the excellent capabilities of ISAAC now hold a great potential to discover and weigh many more black holes.

Notes

[1] The team is composed by Ethan Schreier (Principal Investigator; Space Telescope Science Institute - STScI, Baltimore, USA), Alessandro Marconi (Arcetri Observatory, Italy), Alessandro Capetti (Turin Observatory, Italy), David Axon (University of Hertfordshire, United Kingdom), Anton Koekemoer (STScI, USA) and Duccio Macchetto (ESA/STScI, USA).

More information

The research described in this Press Release is reported in a research article ("Peering through the dust: Evidence for a supermassive Black Hole at the Nucleus of Centaurus A from VLT IR spectroscopy"), that will appear in the international research journal the Astrophysical Journal on March 10, 2001. The full article is also available on the web as astro-ph/0011059.

Technical information about the photos

The first image is reproduced from three exposures, obtained during the night of January 31 - February 1, 2000. It is a composite of three exposures in B (300 sec exposure, image quality 0.60 arcsec; here rendered in blue colour), V (240 sec, 0.60 arcsec; green) and R (240 sec, 0.55 arcsec; red). The field covered corresponds to about 80 x 80 arcsec 2 (395 x 395 pix 2, 1 pix = 0.2 arcsec). North is up and East is left. The second image: The original ISAAC spectra were exposed for 35 min each with an average seeing of 0.5 arcsec. Three spectrograph slits were used, but only one of these is shown here. It was centered on the nucleus of Centaurus A and oriented at 33°, measured counter-clockwise from the North direction. The spectral pixel size is 0.6 Angstrom x 0.15 arcsec (i.e., 14 km/sec x 8.3 light-year). The large and small figures cover 2300 km/s x 1665 light-years and 1150 km/s x 330 light-years, respectively.

Contacts

Alessandro Marconi
Arcetri Observatory
Firenze, Italy
Tel: +39 055 2752250
Email: marconi@arcetri.astro.it

David Axon
University of Hertfordshire
Hatfield, UK
Tel: +44-1707-284607
Email: dja@star.herts.ac.uk

Ethan Schreier
Space Telescope Science Institute
Baltimore, USA
Tel: +1-410-338-4740
Email: ejs@stsci.edu

Anton Koekemoer
Space Telescope Science Institute
Baltimore, USA

Connect with ESO on social media

About the Release

Release No.:eso0109
Legacy ID:PR 04/01
Name:Centaurus A, NGC 5128
Type:Local Universe : Galaxy
Local Universe : Galaxy : Component : Central Black Hole
Facility:Very Large Telescope
Instruments:ISAAC
Science data:2001ApJ...549..915M

Images

The heavily obscured centre of Centaurus A
The heavily obscured centre of Centaurus A
ISAAC spectrum of the centre of Centaurus A
ISAAC spectrum of the centre of Centaurus A
Recoating Yepun's mirror
Recoating Yepun's mirror

Send us your comments!
Subscribe to receive news from ESO in your language
Accelerated by CDN77
Terms & Conditions
Cookie Settings and Policy

Our use of Cookies

We use cookies that are essential for accessing our websites and using our services. We also use cookies to analyse, measure and improve our websites’ performance, to enable content sharing via social media and to display media content hosted on third-party platforms.

You can manage your cookie preferences and find out more by visiting 'Cookie Settings and Policy'.

ESO Cookies Policy


The European Organisation for Astronomical Research in the Southern Hemisphere (ESO) is the pre-eminent intergovernmental science and technology organisation in astronomy. It carries out an ambitious programme focused on the design, construction and operation of powerful ground-based observing facilities for astronomy.

This Cookies Policy is intended to provide clarity by outlining the cookies used on the ESO public websites, their functions, the options you have for controlling them, and the ways you can contact us for additional details.

What are cookies?

Cookies are small pieces of data stored on your device by websites you visit. They serve various purposes, such as remembering login credentials and preferences and enhance your browsing experience.

Categories of cookies we use

Essential cookies (always active): These cookies are strictly necessary for the proper functioning of our website. Without these cookies, the website cannot operate correctly, and certain services, such as logging in or accessing secure areas, may not be available; because they are essential for the website’s operation, they cannot be disabled.

Cookie ID/Name
Description/Purpose
Provider (1st party or 3rd party)
Browser session cookie or Stored cookie?
Duration
csrftoken
XSRF protection token. We use this cookie to protect against cross-site request forgery attacks.
1st party
Stored
1 year
user_privacy
Your privacy choices. We use this cookie to save your privacy preferences.
1st party
Stored
6 months
_grecaptcha
We use reCAPTCHA to protect our forms against spam and abuse. reCAPTCHA sets a necessary cookie when executed for the purpose of providing its risk analysis. We use www.recaptcha.net instead of www.google.com in order to avoid unnecessary cookies from Google.
3rd party
Stored
6 months

Functional Cookies: These cookies enhance your browsing experience by enabling additional features and personalization, such as remembering your preferences and settings. While not strictly necessary for the website to function, they improve usability and convenience; these cookies are only placed if you provide your consent.

Cookie ID/Name
Description/Purpose
Provider (1st party or 3rd party)
Browser session cookie or Stored cookie?
Duration
Settings
preferred_language
Language settings. We use this cookie to remember your preferred language settings.
1st party
Stored
1 year
ON | OFF
sessionid
ESO Shop. We use this cookie to store your session information on the ESO Shop. This is just an identifier which is used on the server in order to allow you to purchase items in our shop.
1st party
Stored
2 weeks
ON | OFF

Analytics cookies: These cookies collect information about how visitors interact with our website, such as which pages are visited most often and how users navigate the site. This data helps us improve website performance, optimize content, and enhance the user experience; these cookies are only placed if you provide your consent. We use the following analytics cookies.

Matomo Cookies:

This website uses Matomo (formerly Piwik), an open source software which enables the statistical analysis of website visits. Matomo uses cookies (text files) which are saved on your computer and which allow us to analyze how you use our website. The website user information generated by the cookies will only be saved on the servers of our IT Department. We use this information to analyze www.eso.org visits and to prepare reports on website activities. These data will not be disclosed to third parties.

On behalf of ESO, Matomo will use this information for the purpose of evaluating your use of the website, compiling reports on website activity and providing other services relating to website activity and internet usage.

ON | OFF

Matomo cookies settings:

Cookie ID/Name
Description/Purpose
Provider (1st party or 3rd party)
Browser session cookie or Stored cookie?
Duration
Settings
_pk_id
Stores a unique visitor ID.
1st party
Stored
13 months
_pk_ses
Session cookie temporarily stores data for the visit.
1st party
Stored
30 minutes
_pk_ref
Stores attribution information (the referrer that brought the visitor to the website).
1st party
Stored
6 months
_pk_testcookie
Temporary cookie to check if a visitor’s browser supports cookies (set in Internet Explorer only).
1st party
Stored
Temporary cookie that expires almost immediately after being set.

Additional Third-party cookies on ESO websites: some of our pages display content from external providers, e.g. YouTube.

Such third-party services are outside of ESO control and may, at any time, change their terms of service, use of cookies, etc.

YouTube: Some videos on the ESO website are embedded from ESO’s official YouTube channel. We have enabled YouTube’s privacy-enhanced mode, meaning that no cookies are set unless the user actively clicks on the video to play it. Additionally, in this mode, YouTube does not store any personally identifiable cookie data for embedded video playbacks. For more details, please refer to YouTube’s embedding videos information page.

Cookies can also be classified based on the following elements.

Regarding the domain, there are:

As for their duration, cookies can be:

How to manage cookies

Cookie settings: You can modify your cookie choices for the ESO webpages at any time by clicking on the link Cookie settings at the bottom of any page.

In your browser: If you wish to delete cookies or instruct your browser to delete or block cookies by default, please visit the help pages of your browser:

Please be aware that if you delete or decline cookies, certain functionalities of our website may be not be available and your browsing experience may be affected.

You can set most browsers to prevent any cookies being placed on your device, but you may then have to manually adjust some preferences every time you visit a site/page. And some services and functionalities may not work properly at all (e.g. profile logging-in, shop check out).

Updates to the ESO Cookies Policy

The ESO Cookies Policy may be subject to future updates, which will be made available on this page.

Additional information

For any queries related to cookies, please contact: pdprATesoDOTorg.

As ESO public webpages are managed by our Department of Communication, your questions will be dealt with the support of the said Department.