Press Release

Undercover Stars Among Exoplanet Candidates

Very Large Telescope Finds Planet-Sized Transiting Star

3 March 2005

An international team of astronomers have accurately determined the radius and mass of the smallest core-burning star known until now. The observations were performed in March 2004 with the FLAMES multi-fibre spectrograph on the 8.2-m VLT Kueyen telescope at the ESO Paranal Observatory (Chile). They are part of a large programme aimed at measuring accurate radial velocities for sixty stars for which a temporary brightness "dip" has been detected during the OGLE survey. The astronomers find that the dip seen in the light curve of the star known as OGLE-TR-122 is caused by a very small stellar companion, eclipsing this solar-like star once every 7.3 days. This companion is 96 times heavier than planet Jupiter but only 16% larger. It is the first time that direct observations demonstrate that stars less massive than 1/10th of the solar mass are of nearly the same size as giant planets. This fact will obviously have to be taken into account during the current search for transiting exoplanets. In addition, the observations with the Very Large Telescope have led to the discovery of seven new eclipsing binaries, that harbour stars with masses below one-third the mass of the Sun, a real bonanza for the astronomers.

The OGLE Survey

When a planet happens to pass in front of its parent star (as seen from the Earth), it blocks a small fraction of the star's light from our view [1].

These "planetary transits" are of great interest as they allow astronomers to measure in a unique way the mass and the radius of exoplanets. Several surveys are therefore underway which attempt to find these faint signatures of other worlds.

One of these programmes is the OGLE survey which was originally devised to detect microlensing events by monitoring the brightness of a very large number of stars over extended time intervals. During the past years, it has also included a search for periodic, very shallow "dips" in the brightness of stars, caused by the regular transit of small orbiting objects (small stars, brown dwarfs [2] or Jupiter-size planets). The OGLE team has since announced 177 "planetary transit candidates" from their survey of several hundred thousand stars in three southern sky fields, one in the direction of the Galactic Centre, another within the Carina constellation and the third within the Centaurus/Musca constellations.

The nature of the transiting object can however only be established by subsequent radial-velocity observations of the parent star. The size of the velocity variations (the amplitude) is directly related to the mass of the companion object and therefore allows discrimination between stars and planets as the cause of the observed brightness "dip".

A Bonanza of Low-Mass Stars

An international team of astronomers [3] has made use of the 8.2-m VLT Kueyen telescope for this work. Profiting from the multiplex capacity of the FLAMES/UVES facility that permits to obtain high-resolution spectra of up to 8 objects simultaneously, they have looked at 60 OGLE transit candidate stars, measuring their radial velocities with an accuracy of about 50 m/s [4].

This ambitious programme has so far resulted in the discovery of five new transiting exoplanets (see, e.g., eso0232 for the announcement of two of those).

Most of the other transit candidates identified by OGLE have turned out to be eclipsing binaries, that is, in most cases common, small and low-mass stars passing in front of a solar-like star. This additional wealth of data on small and light stars is a real bonanza for the astronomers.

Constraining the Relation Between Mass and Radius

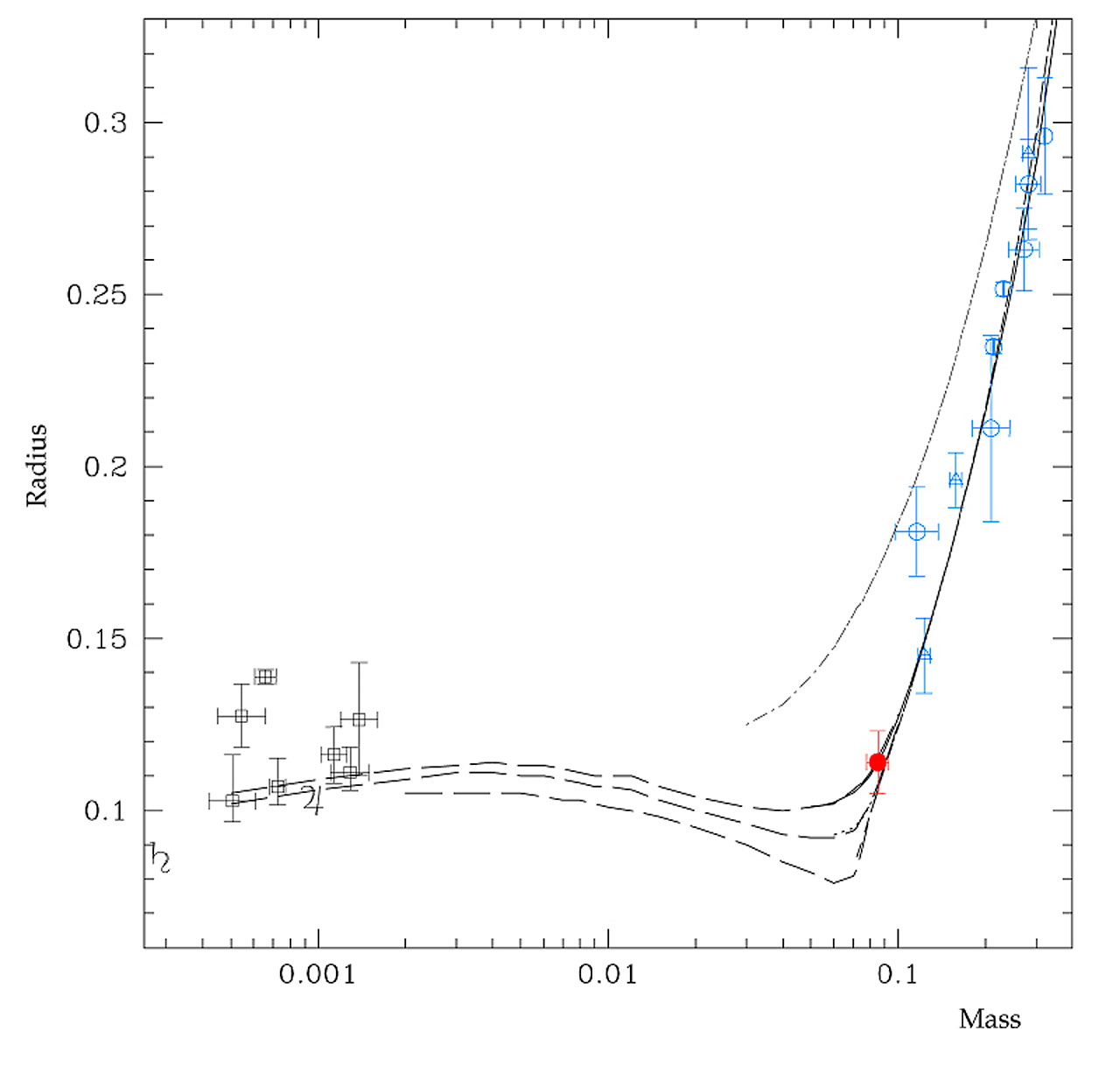
Low-mass stars are exceptionally interesting objects, also because the physical conditions in their interiors have much in common with those of giant planets, like Jupiter in our solar system. Moreover, a determination of the sizes of the smallest stars provides indirect, crucial information about the behaviour of matter under extreme conditions [5].

Until recently, very few observations had been made and little was known about low-mass stars. At this moment, exact values of the radii are known only for four stars with masses less than one-third of the mass of the Sun and none at all for masses below one-eighth of a solar mass.

This situation is now changing dramatically. Indeed, observations with the Very Large Telescope have so far led to the discovery of seven new eclipsing binaries, that harbour stars with masses below one-third the mass of the Sun.

This new set of observations thus almost triples the number of low-mass stars for which precise radii and masses are known. And even better - one of these stars now turns out to be the smallest known!

Planet-Sized Stars

The newly found stellar gnome is the companion of OGLE-TR-122, a rather remote star in the Milky Way galaxy, seen in the direction of the southern constellation Carina.

The OGLE programme revealed that OGLE-TR-122 experiences a 1.5 per cent brightness dip once every 7 days 6 hours and 27 minutes, each time lasting just over 3 hours (about 188 min). The FLAMES/UVES measurements, made during 6 nights in March 2004, reveal radial velocity variations of this period with an amplitude of about 20 km/s. This is the clear signature of a very low-mass star, close to the Hydrogen-burning limit, orbiting OGLE-TR-122. This companion received the name OGLE-TR-122b.

As François Bouchy of the Observatoire Astronomique Marseille Provence (France) explains: "Combined with the information collected by OGLE, our spectroscopic data now allow us to determine the nature of the more massive star in the system, which appears to be solar-like".

This information can then be used to determine the mass and radius of the much smaller companion OGLE-TR-122b. Indeed, the depth (brightness decrease) of the transit gives a direct estimate of the ratio between the radii of the two stars, and the spectroscopic orbit provides a unique value of the mass of the companion, once the mass of the larger star is known.

The astronomers find that OGLE-TR-122b weighs one-eleventh of the mass of the Sun and has a diameter that is only one-eighth of the solar one. Thus, although the star is still 96 times as massive as Jupiter, it is only 16% larger than this giant planet!

A Dense Star

"Imagine that you add 95 times its own mass to Jupiter and nevertheless end up with a star that is only slightly larger", suggests Claudio Melo from ESO and member of the team of astronomers who made the study. "The object just shrinks to make room for the additional matter, becoming more and more dense."

The density of such a star is more than 50 times the density of the Sun.

"This result shows the existence of stars that look strikingly like planets, even from close by", emphasizes Frederic Pont of the Geneva Observatory (Switzerland). "Isn't it strange to imagine that even if we were to receive images from a future space probe approaching such an object at close range, it wouldn't be easy to discern whether it is a star or a planet?"

As all stars, OGLE-TR-122b produces indeed energy in its interior by means of nuclear reactions. However, because of its low mass, this internal energy production is very small, especially compared to the energy produced by its solar-like companion star.

Not less striking is the fact that exoplanets which are orbiting very close to their host star, the so-called "hot Jupiters", have radii which may be larger than the newly found star. The radius of exoplanet HD209458b, for example, is about 30% larger than that of Jupiter. It is thus substantially larger than OGLE-TR-122b!

Masqueraders

This discovery also has profound implications for the ongoing search for exoplanets. These observations clearly demonstrate that some stellar objects can produce precisely the same photometric signals (brightness changes) as transiting Jupiter-like planets [6]. What's more, the present study has shown that such stars are not rare.

Stars like OGLE-TR-122b are thus masqueraders among giant exoplanets and the outermost care is required to differentiate them from their planetary cousins. Uncovering such small stars can only be done with follow-up high-resolution spectral measurements with the largest telescopes. There is more work ahead for the Very Large Telescope!

Notes

[1] Brown dwarfs, or "failed stars", are objects which are up to 75 times more massive than Jupiter. They are too small for major nuclear fusion processes to have ignited in its interior.

[2] The radius of a Jupiter-size planet is about 10 times smaller than that of a solar-type star, i.e. it covers about 1/100 of the surface of that star and hence it blocks about 1 % of the stellar light during the transit.

[3] The team consists of Frédéric Pont, Michel Mayor, Didier Queloz and Stéphane Udry of the Geneva Observatory in Switzerland, Claudio Melo of ESO-Chile, François Bouchy at Observatoire Astronomique Marseille Provence in France, and Nuno Santos of the Lisbon Astronomical Observatory, Portugal.

[4] This amounts to measuring a speed of 180 km/h. By comparison, the motion of the Sun induced by Jupiter is about 13 m/s or 47 km/h. This motion is proportional to the mass of the planet and inversely proportional to the square root of its distance from the star.

[5] For a normal star like the Sun whose matter behaves like a perfect gas, the stellar size is proportional to the mass. However, for low-mass stars, quantum effects become important and the stellar matter becomes "degenerate", resisting compression much more than does a perfect gas. For objects with a mass below 75 times the mass of Jupiter, i.e. brown dwarfs, the matter is fully degenerate and their size does not depend on the mass.

[6] Note that a distant transiting object - star or planet - will always produce a brightness "dip", however bright it is itself. Before and after the transit, the recorded brightness equals the sum of the brightness of the central star and that of the orbiting object. During the transit, the recorded brightness is this sum minus the light emitted by that part of the central star that is obscured.

More information

The information contained in this press release is based on a research article to appear soon as a Letter to the Editor in the leading research journal "Astronomy & Astrophysics" ("A planet-sized transiting star around OGLE-TR-122" by F. Pont et al.). The paper is available in PDF format on the A&A website.

Contacts

Frédéric Pont
Geneva Observatory
Geneva, Switzerland
Tel: +41 22 37 92 397
Email: frederic.pont@obs.unige.ch

Claudio Melo
ESO
Santiago, Chile
Tel: +56 2 463 3079
Email: cmelo@eso.org

François Bouchy
Observatoire Astronomique Marseille Provence
Marseille, France
Tel: +33 4 92 70 64 96
Email: francois.bouchy@oamp.fr

Connect with ESO on social media

About the Release

Release No.:eso0507
Legacy ID:PR 05/05
Name:OGLE-TR-122, OGLE-TR-122b
Type:Solar System : Planet : Type : Gas Giant
Solar System : Star
Milky Way : Planet : Type : Gas Giant
Facility:Very Large Telescope
Instruments:FLAMES
Science data:2005A&A...433L..21P

Images

Comparison between OGLE-TR-122b, Jupiter and the Sun
Comparison between OGLE-TR-122b, Jupiter and the Sun
Brightness
Brightness "dip" and velocity variations of OGLE-TR-122
Properties of low-mass stars and planets
Properties of low-mass stars and planets

Send us your comments!
Subscribe to receive news from ESO in your language
Accelerated by CDN77
Terms & Conditions
Cookie Settings and Policy

Our use of Cookies

We use cookies that are essential for accessing our websites and using our services. We also use cookies to analyse, measure and improve our websites’ performance, to enable content sharing via social media and to display media content hosted on third-party platforms.

You can manage your cookie preferences and find out more by visiting 'Cookie Settings and Policy'.

ESO Cookies Policy


The European Organisation for Astronomical Research in the Southern Hemisphere (ESO) is the pre-eminent intergovernmental science and technology organisation in astronomy. It carries out an ambitious programme focused on the design, construction and operation of powerful ground-based observing facilities for astronomy.

This Cookies Policy is intended to provide clarity by outlining the cookies used on the ESO public websites, their functions, the options you have for controlling them, and the ways you can contact us for additional details.

What are cookies?

Cookies are small pieces of data stored on your device by websites you visit. They serve various purposes, such as remembering login credentials and preferences and enhance your browsing experience.

Categories of cookies we use

Essential cookies (always active): These cookies are strictly necessary for the proper functioning of our website. Without these cookies, the website cannot operate correctly, and certain services, such as logging in or accessing secure areas, may not be available; because they are essential for the website’s operation, they cannot be disabled.

Cookie ID/Name
Description/Purpose
Provider (1st party or 3rd party)
Browser session cookie or Stored cookie?
Duration
csrftoken
XSRF protection token. We use this cookie to protect against cross-site request forgery attacks.
1st party
Stored
1 year
user_privacy
Your privacy choices. We use this cookie to save your privacy preferences.
1st party
Stored
6 months
_grecaptcha
We use reCAPTCHA to protect our forms against spam and abuse. reCAPTCHA sets a necessary cookie when executed for the purpose of providing its risk analysis. We use www.recaptcha.net instead of www.google.com in order to avoid unnecessary cookies from Google.
3rd party
Stored
6 months

Functional Cookies: These cookies enhance your browsing experience by enabling additional features and personalization, such as remembering your preferences and settings. While not strictly necessary for the website to function, they improve usability and convenience; these cookies are only placed if you provide your consent.

Cookie ID/Name
Description/Purpose
Provider (1st party or 3rd party)
Browser session cookie or Stored cookie?
Duration
Settings
preferred_language
Language settings. We use this cookie to remember your preferred language settings.
1st party
Stored
1 year
ON | OFF
sessionid
ESO Shop. We use this cookie to store your session information on the ESO Shop. This is just an identifier which is used on the server in order to allow you to purchase items in our shop.
1st party
Stored
2 weeks
ON | OFF

Analytics cookies: These cookies collect information about how visitors interact with our website, such as which pages are visited most often and how users navigate the site. This data helps us improve website performance, optimize content, and enhance the user experience; these cookies are only placed if you provide your consent. We use the following analytics cookies.

Matomo Cookies:

This website uses Matomo (formerly Piwik), an open source software which enables the statistical analysis of website visits. Matomo uses cookies (text files) which are saved on your computer and which allow us to analyze how you use our website. The website user information generated by the cookies will only be saved on the servers of our IT Department. We use this information to analyze www.eso.org visits and to prepare reports on website activities. These data will not be disclosed to third parties.

On behalf of ESO, Matomo will use this information for the purpose of evaluating your use of the website, compiling reports on website activity and providing other services relating to website activity and internet usage.

ON | OFF

Matomo cookies settings:

Cookie ID/Name
Description/Purpose
Provider (1st party or 3rd party)
Browser session cookie or Stored cookie?
Duration
Settings
_pk_id
Stores a unique visitor ID.
1st party
Stored
13 months
_pk_ses
Session cookie temporarily stores data for the visit.
1st party
Stored
30 minutes
_pk_ref
Stores attribution information (the referrer that brought the visitor to the website).
1st party
Stored
6 months
_pk_testcookie
Temporary cookie to check if a visitor’s browser supports cookies (set in Internet Explorer only).
1st party
Stored
Temporary cookie that expires almost immediately after being set.

Additional Third-party cookies on ESO websites: some of our pages display content from external providers, e.g. YouTube.

Such third-party services are outside of ESO control and may, at any time, change their terms of service, use of cookies, etc.

YouTube: Some videos on the ESO website are embedded from ESO’s official YouTube channel. We have enabled YouTube’s privacy-enhanced mode, meaning that no cookies are set unless the user actively clicks on the video to play it. Additionally, in this mode, YouTube does not store any personally identifiable cookie data for embedded video playbacks. For more details, please refer to YouTube’s embedding videos information page.

Cookies can also be classified based on the following elements.

Regarding the domain, there are:

As for their duration, cookies can be:

How to manage cookies

Cookie settings: You can modify your cookie choices for the ESO webpages at any time by clicking on the link Cookie settings at the bottom of any page.

In your browser: If you wish to delete cookies or instruct your browser to delete or block cookies by default, please visit the help pages of your browser:

Please be aware that if you delete or decline cookies, certain functionalities of our website may be not be available and your browsing experience may be affected.

You can set most browsers to prevent any cookies being placed on your device, but you may then have to manually adjust some preferences every time you visit a site/page. And some services and functionalities may not work properly at all (e.g. profile logging-in, shop check out).

Updates to the ESO Cookies Policy

The ESO Cookies Policy may be subject to future updates, which will be made available on this page.

Additional information

For any queries related to cookies, please contact: pdprATesoDOTorg.

As ESO public webpages are managed by our Department of Communication, your questions will be dealt with the support of the said Department.